SARS-CoV-2: Ansteckungsrisiko in Innenräumen
Forscherinnen und Forscher des Hermann-Rietschel-Instituts der Technischen Universität (TU) Berlin und weitere Wissenschaftler/-innen haben ein vereinfachtes Risikomodell entwickelt, um in der Coronapandemie praktische und evidenzbasierte Empfehlungen für das Gebäude- und Veranstaltungsmanagement geben zu können. Es basiert auf einem bereits validierten Infektionsdosismodell, der Auswertung von 25 dokumentierten Ausbruchsgeschehen und neuen mathematischen Berechnungen. Erstmals wird darin die Bedeutung der Kohlendioxid (CO2)-Konzentration als Indikator für die Infektionssicherheit in Innenräumen auch mathematisch aufgezeigt. Die Forscher schlagen vor, diesen Wert mit der Aufenthaltsdauer der Personen zur „CO2-Dosis“ zu erweitern. Um das Gebäudemanagement mit diesem verbesserten Indikator zu erproben, findet derzeit ein Feldtest in Hörsälen der TU Berlin statt. Dabei übertragen CO2-Messgeräte ihre Daten in eine cloudbasierte Software.

Viruslast und Ausbrüche
Die Impfungen sowie Hygienekonzepte für Innenräume haben es möglich gemacht, dass wir trotz hoher Inzidenzen ins Kino gehen und an Veranstaltungen teilnehmen können. Wichtige Fragen sind jedoch offengeblieben: Welche Viruslasten führen in der Praxis tatsächlich zu Ausbrüchen? Wie kann man die Wirkungen der verschiedenen Hygienemaßnahmen in einem einfachen mathematischen Modell quantifizieren? Und welche allgemeinen Erkenntnisse lassen sich daraus gewinnen, unabhängig von den konkreten Eigenschaften des Virus?
Gut dokumentierte Ausbrüche gesucht
Als Ausbruch gelten alle Infektionsgeschehen, bei denen eine Person mehr als einen weiteren Menschen ansteckt. „Gut dokumentierte Ausbrüche sind für uns wie Gold“, sagt Prof. Dr.-Ing. Martin Kriegel, Leiter des Hermann-Rietschel-Instituts und Erstautor der Studie. „Sie sind rar und gleichzeitig extrem wertvoll.“ Die untersuchten Fälle stammen daher aus aller Welt, etwa aus Korea, China, Hawaii, Israel oder Frankreich. Aber auch ein Ausbruch bei einem deutschen Fleischkonzern ist dabei sowie mehrere besonders gut dokumentierte Ausbrüche in einer Hamburger Schule und bei Chorproben in Berlin. Über die Bestimmung der Virus-DNA bei den Infizierten konnte hier genau festgestellt werden, wer wen angesteckt hatte. Co-Autoren von Kriegels Studie sind daher unter anderen eine Virologin, eine Hygienikerin und ein Epidemiologe.

Vorgehen wie bei der Tatortarbeit
Auswertung und Vergleich der 25 Ausbrüche ermöglichten allgemeine Schlussfolgerungen. Und lieferten Hinweise darauf, welche Daten wirklich wichtig für die Dokumentation eines Ausbruchs sind, um schnell ein gutes Bild der Infektionsdynamik zu bekommen. Dazu zählen etwa eine verlässliche Zahl aller beim Ausbruch Infizierten, die genaue Zahl der Anwesenden sowie Informationen darüber, wer sich wie lange an welchen Orten befand und was Infizierte und Infektiöse genau getan haben. Hinzu kommen Informationen zur Belüftungssituation. „Das ist eigentlich wie bei der Tatortarbeit. Je schneller nach einem Ausbruch die Aufnahme dieser Daten erfolgen kann, umso besser erinnern sich die Beteiligten an die Umstände“, erzählt Kriegel. Doch auch mit rudimentären Angaben ließen sich Ausbrüche noch unter Zuhilfenahme von Erfahrungswerten relativ gut rekonstruieren und über statistische Auswertungen verarbeiten.
Auf Grundgleichungen zur Infektionsdynamik zurückgegriffen
Um konkrete quantitative Empfehlungen zur Verhinderung eines Ausbruchs geben zu können, etwa zur maximalen Zahl der Personen in einem Raum oder zum notwendigen Frischluftstrom, griffen die Forscher auf Grundgleichungen zur Infektionsdynamik zurück, die bereits in den 1950er- und 1970er-Jahren entwickelt wurden. Darauf aufbauend etablierten sie ein vereinfachtes mathematisches Infektionsmodell, das die für ein Ausbruchsgeschehen relevanten Parameter enthält. Diese beziehen sich auf die Eigenschaften des Virus und des betrachteten Raums, aber zum Beispiel auch auf die Tätigkeiten der Personen im Raum. „Wir haben dabei erstmals Vereinfachungen vorgenommen, die praktisch anwendbare Aussagen zur Infektionsprävention ermöglichen“, erklärt Kriegel. Ein wesentliches Ergebnis sei die direkte Verbindung zwischen dem CO2-Gehalt in der Raumluft und dem Infektionsrisiko. Eine der vorgenommenen Vereinfachungen ist zum Beispiel, dass die Zahl der gefährdeten Personen im Raum als größer angenommen wird als die Zahl der Infektiösen – was in der Regel zutrifft. Auf diese Weise ließ sich die unhandliche Exponentialfunktion im Modell eliminieren.

Risikovergleich von Alltagsszenarien
Ein Ergebnis dieser Berechnungen ist ein Risiko-Vergleich von bestimmten Alltagssituationen, der so für alle Arten von Viren gilt, die sich hauptsächlich über Aerosole verbreiten (siehe Abb. 1). Weit oben rangieren dabei Aufenthalte in Büros und Schulen, mit einem nur geringen Risiko behaftet sind dagegen Theater- und Kinobesuche. Die oft diskutierten Restaurantbesuche bergen nur ein mittleres Risiko für einen Ausbruch mit mehr als einer/einem Infizierten. „Trotzdem ist dort die Ansteckungsgefahr relativ hoch, weil alle sprechen und niemand am Platz Masken trägt“, erklärt Kriegel. Die Aufenthaltszeit mache hier den Unterschied – denn niemand sitzt so lange im Restaurant, wie ein normaler Arbeitstag im Büro dauert.
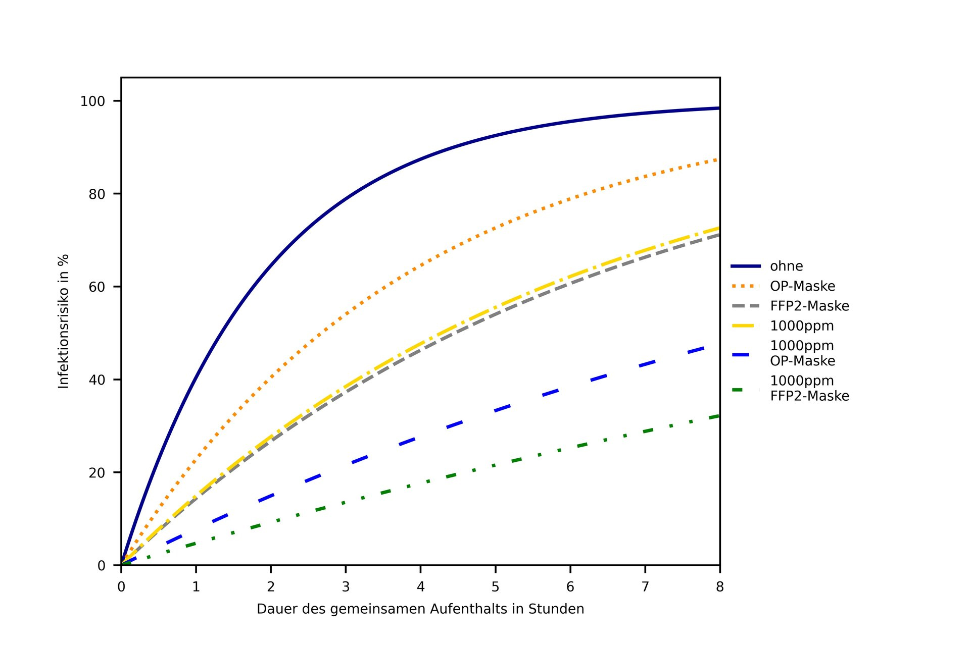
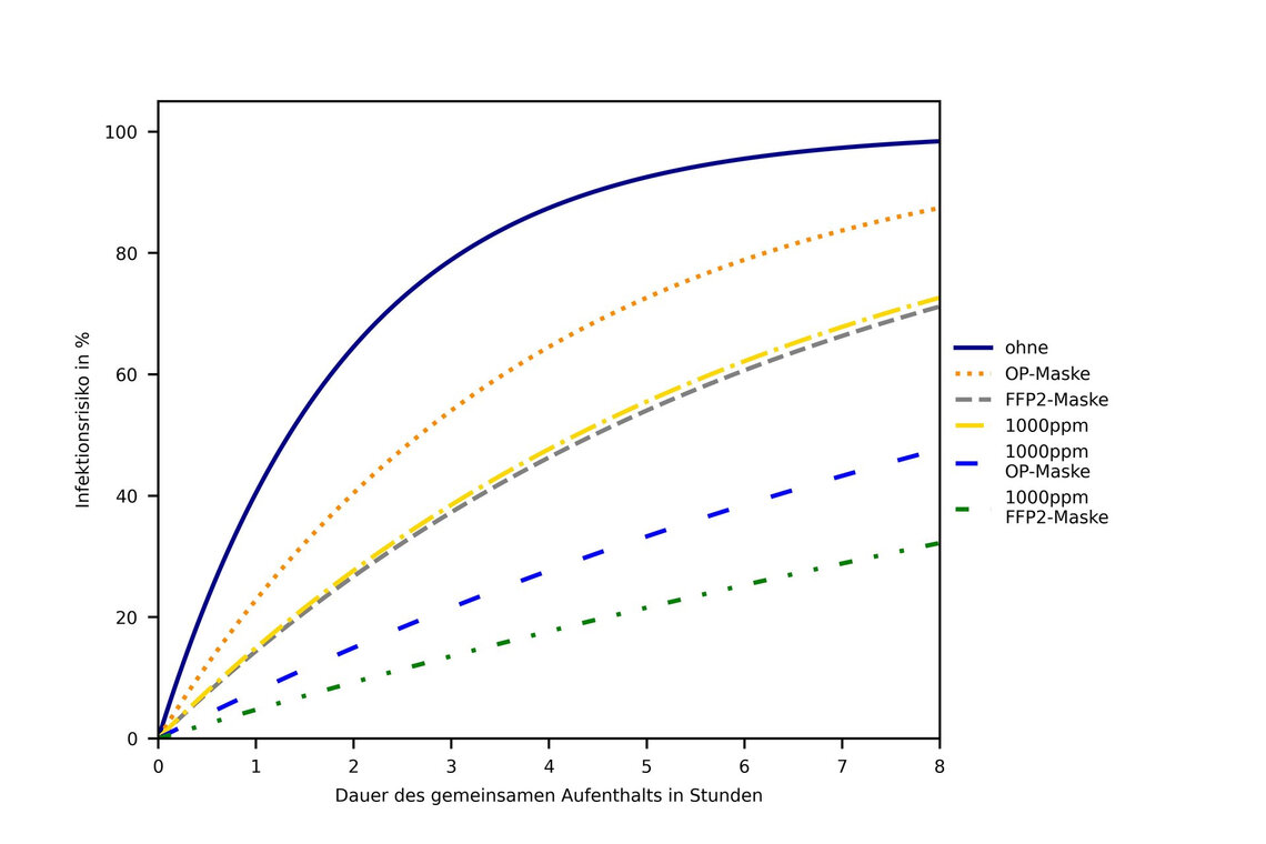
Faktor Zeit wird oft übersehen
Dass der Faktor Zeit bei den Risikobetrachtungen wichtig ist, zeigt auch eine Übersicht über die Effektivität verschiedener nicht-medizinischer Präventionsmaßnahmen und ihrer Kombinationen (siehe Abb. 2). Da man bei der Berechnung der gesamten Risikoreduktion die Beiträge der einzelnen Schutzkomponenten miteinander multiplizieren muss, kann zum Beispiel eine halbierte Aufenthaltszeit die Schutzwirkung durch Lüften und Maske tragen noch einmal verdoppeln. „Während wir bei Chemieunfällen oder radioaktiver Strahlung intuitiv wissen, dass man sich nicht zu lange in einem Gefahrenbereich aufhalten darf, wird dies bei Infektionsgefahren häufig vergessen“, sagt Martin Kriegel.
Kein sicherer CO2-Grenzwert
Aus diesem Grund ist auch die gemessene CO2-Konzentration in einem Raum allein nur bedingt für die Beurteilung des Infektionsrisikos geeignet. Zwar sei der Gehalt an Kohlendioxid ein gutes Maß dafür, wann gelüftet werden sollte – es gebe jedoch keinen „sicheren CO2-Grenzwert“, ab dem keine Infektionen mehr stattfinden würden. Denn eine infektiöse Person im Raum emittiere permanent virenbelastete Aerosole und die exponierten Personen atmen diese andauernd ein. „Wir schlagen daher eine CO2-Dosis für die Risikobewertung vor, die zusätzlich zur CO2-Konzentration auch die Zeitspanne beinhaltet, in der man dieser Konzentration ausgesetzt ist“, sagt Kriegel. Momentan laufen hierzu Versuche in Hörsälen der TU Berlin. CO2-Messgeräte senden dabei ihre Daten an eine Software in der Cloud, die die CO2-Dosis berechnet. Darauf aufbauend könnte zum Beispiel eine Smartphone-App auf diese Daten zugreifen und für jeden Studenten/jede Studentin je nach Aufenthaltsdauer und CO2-Konzentration ein persönliches Risikoprofil erstellen. In Zusammenarbeit mit dem Fachgebiet Mobile Cloud Computing von Prof. Dr.-Ing. David Bermbach der TU Berlin ist aus der Studie bereits eine Webapplikation hervorgegangen, mit der man anhand der CO2-Dosis die Anzahl der Personen berechnen kann, die sich bei einer infektiösen Person mit hoher Wahrscheinlichkeit anstecken werden.
Nutzung für Hygienekonzepte
Mit dem in der Studie entwickelten mathematischen Risikomodell können nicht nur andere Forscher weiterführende Untersuchungen anstellen. Es sei auch für Fachkräfte aus der Hygiene, der Lüftungstechnik sowie dem Gebäude- oder Veranstaltungsmanagement geeignet, die Hygienekonzepte entwickeln. „Die in den Diskussionen über raumlufttechnische Anlagen und auch mobile Raumluftreiniger häufig verwendete ‚Luftwechselrate‘ ist dabei nicht zielführend“, erklärt Martin Kriegel. Anstelle dieses Parameters schlagen die Forscher vor, den auf die Anzahl der Personen und deren Aufenthaltsdauer bezogenen „Volumenstrom“ zu verwenden. Während die Luftwechselrate angibt, wie oft in einem bestimmten Zeitraum das gesamte Luftvolumen des Raums ausgetauscht wird, gibt dieser Volumenstrom an, wieviel unbelastete Frischluft pro Person und Zeit des Aufenthalts zugeführt wird. „Damit haben wir bei der Dimensionierung und beim Betrieb der Lüftungsanlagen schon die direkte Verbindung zur CO2-Dosis und zum vorausgesagten Infektionsrisiko, was allein mit der Luftwechselrate nicht möglich ist.“
Luft als „Lebensmittel“ betrachten
Durch ihre Arbeit wollen die Forschenden einen Beitrag zur Raumlufthygiene unabhängig von einem bestimmten Erregertyp leisten. Im Mittelpunkt stehe dabei das Messen, betont Kriegel. „Nur wer misst, kann auch zielgerichtet verbessern. Luft ist ein Lebensmittel und sollte genauso wie etwa unser Trinkwasser überwacht werden.“ Denn während wir täglich etwa 1,5 Kilogramm Wasser trinken, atmen wir zehnmal mehr Luft ein – etwa 15 Kilogramm pro Tag.
Quelle: idw/TU Berlin
Artikel teilen



