Der Grund seiner Forschung soll auch in der Erkrankung seines Vaters gelegen haben. Dieser litt an Arthritis, welche mit Salicylsäure behandelt wurde. Dieses Naturheilmittel, gewonnen aus der Weidenrinde, gibt es damals schon lange Zeit und hat eine schmerzstillende und fiebersenkende Wirkung, jedoch auch starke Nebenwirkungen wie Brechreiz und dadurch verbundene Verätzungen der Mund- und Speiseröhrenschleimhaut.
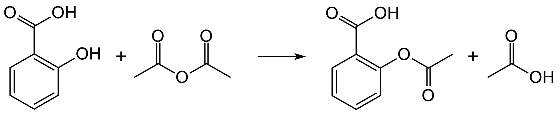
Hoffmann möchte ein besser verträgliches Schmerzmittel entwickeln. Inspiriert wird er hierbei durch die Forschung von Charles Frédéric Gerhardt (1816–1856), der bereits 1853 in Paris unreine Acetylsalicylsäure (ASS) herstellte. Hoffmann reinigte im Gegensatz zu Gerhardt seine Substanz und hatte somit einen Wirkstoff, der haltbar und verträglich ist, schmerzlindernd, entzündungshemmend und fiebersenkend – und alles ohne die bisherigen Nebenwirkungen bei Verwendung von Salicylsäure.
Am 6. März 1899 lässt sich Bayer das Medikament im Kaiserlichen Patentamt Berlin eintragen und gibt ihm den Namen ASPIRIN (Das „A“ kommt von der Acetylierung, das „SPIR“ von Spirsäure [Salicylsäure] und „IN“ ist die typische Endung eines Medikamentennamens). In Großbritannien erhält Bayer das Patent im Jahre 1898 und in den USA 1900.
Zunächst wird Aspirin als Pulver in 250-Gramm-Glasflaschen an die Apotheken verkauft. Da jedoch schnell auch andere Firmen beginnen, Aspirin als Generika zu vertreiben, entwickelt Bayer die Aspirin-Tablette und ermöglicht hierdurch auch eine standardisierte Dosierung im Gegensatz zur Pulverdarreichungsform. Das Unternehmen hat ein fälschungssicheres und durch Massenproduktion recht günstiges Produkt ab 1904 auf dem Markt und somit ein Alleinstellungsmerkmal. Gleichzeitig gab es auf dem Weltmarkt eine Verbindung zwischen Bayer und Aspirin, die bis heute anhält.
Die Aspirin-Tablette entwickelt sich zu einem vielseitig einsetzbaren Arzneimittel (es wirkt bei leichten bis mäßigen Schmerzen und Fieber und findet auch seinen Einsatz bei Erkältungskrankheiten) und wird zum bekanntesten Schmerzmittel der Welt. 1969 befand sich die Aspirin-Tablette sogar an Bord der Raumfähre Apollo 11 auf dem Weg zum Mond.
Die Vermarktung von Paracetamol ab 1956 und Ibuprofen ab 1962 reduzierten den ASS- und Aspirinverkauf weltweit. Auch vor diesem Hintergrund gingen die Forschungen diverser Chemiker weltweit zur Wirksamkeit der Acetylsalicylsäure kontinuierlich weiter. Man erkannte die Wirksamkeit als Gerinnungshemmer und das Mittel bekam zur vorbeugenden Behandlung von Schlaganfall, Thrombosen und Herzinfarkt einen neuen Absatzmarkt.
Mittlerweile wird Aspirin in einem sehr breiten therapeutischen Spektrum angewandt und ist in verschiedenen Konzentrationen und Darreichungsformen erhältlich. Und auch heute befassen sich weltweit zahlreiche Forscherinnen und Forscher mit weiteren Einsatzmöglichkeiten. Aspirin hat wie kein anderes Medikament den Namen Bayer rund um den Globus bekannt gemacht.
Literatur:
1. Bayer Global: Der Wirkstoff von Aspirin feiert Jubiläum. www.bayer.com/de/news-stories/125-jahre-acetylsalicylsaeure (last accessed on 25 August 2022).
2. Wikipedia: Aspirin. en.wikipedia.org/wiki/Aspirin (last accessed on 25 August 2022).
Entnommen aus MTA Dialog 12/2022
Artikel teilen



